Def. A positive integer is called a non-Cayley number if there exist vertex-transitive graphs of order which are not Caley graphs. Denote the set of non-Cayley numbers by .
Exm.
- is a non-Cayley number as Peterson graph is vertex transitive but not a Cayley graph.
- for .
- Primes are not in .
Problem: Characterize members of .
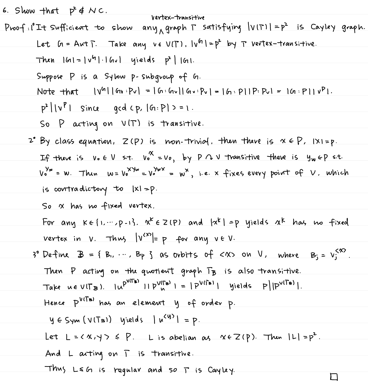
Thm. (D.Marusic, 1983) and are not in .
Here we prove that as homework.

Thm. (McKay-Praeger, 1994 & 1996): except for , and , each non-squarefree number is in .
The above theorem reduce the Problem to Characterize squarefree members of .
Let be a connected vertex transitive graph of order where is a squarefree integer. Then
- either is a non-Cayley graph,
- or is a metacirculant (a Cayley graph of a metacyclic group).
If has a squarefree order, then is metacyclic (HW).
In general, if each Sylow subgroup of is cyclic, then is metacyclic. Additionally, if each Sylow subgroup of is metacyclic, then what is ? (it has been characterized.)
Further if we suppose is an integer such that . Then
- either is a non-Cayley graph
- or is circulant (a Cayley graph of cyclic group).
An oberservation to draw the above conclusion: If such that then is squarefree and is cyclic.(HW)
fact: If a Sylow -subgroup of a group G is in the center of its normalizer then has a normal complement.

Thm. Let and be primes such that , then .
Proof. We need to construct a graph of order which is vertex transitive and non-Cayley. Next, we construct a coset graph satisfies the requirements.
Let is a Frobenius group and . Let . Let and . Define a coset graph . Then is connected (since and , and so . ), vertex transitive and edge transitive.
Claim: is a non-Cayley. Let be a vertex corresponding to , namely . Then has two orbits on . Notice that . Assume that there exists a subgroup of such that acts regularly on the vertex set . Then by Sylow’s theorem and . Let such that . Then and . So does not divide and it follows that does not divide , due to is connected. Thus is a Sylow -subgroup of since does not divide . By Sylow’s theorems, we may assume .(Conjugate some Sylow -subgroup of to )
Let . Then and are contained in . Let . Then where , because and . is a subgroup of . Thus . Consider the action of on . Let be the kernel of acts on , then . Define . If fixes each vertex in , then look at acts on . If is non-trivial(as it is of order , stabilizers are either trivial or the whole group) on , then the induced subgraph on is .
Then is imprimitive on with a block system being the set orbits on and (called lexicographic product) (, then where adjacent to iff and such that , means there are no edges in each blocks).
Then . Actually is a cycle of order and . Since is not normal in , such a group is does not contains and so it is impossible.
Thm. (A.Seress, 2005) determined and are whether in or not, where , and are distinct primes.
So next step is to determine the cases of products of four distinct primes. An ambitious conjecture:
Conjecture. For any integer , there exists distinct primes such that each vertex-transitive graph of order is a circulant. Note that . And we may assume .