yhyquest

Home

❯

MATH

❯

Lie group and Lie algebra

❯

Nodes

❯

0.2 Differential

0.2 Differential

Apr 30, 20251 min read

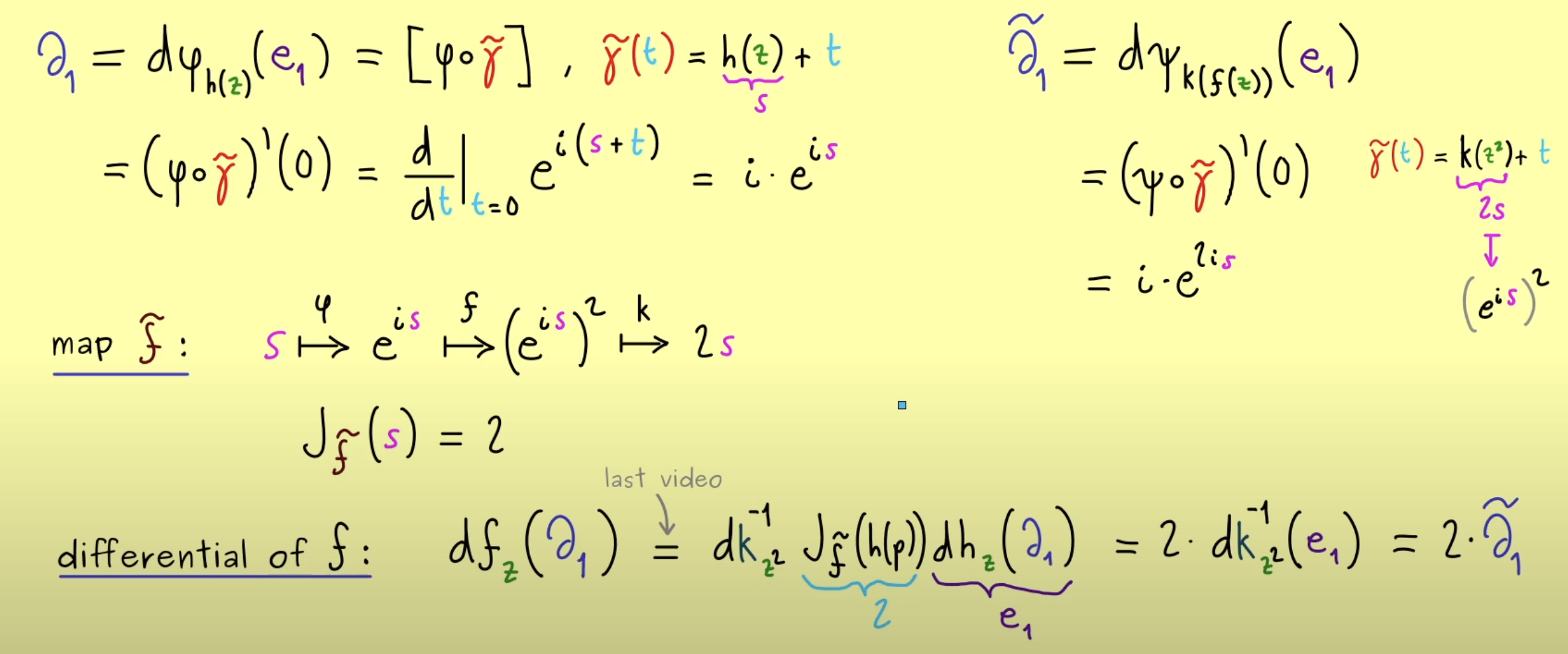
The following picture shows why we define dfp​(∂j​) as ∂j​f(p).

Also, there is an example:

Chain rule

chain rule of differential in smooth manifold


Graph View

Backlinks

  • Lie Group and Lie Algebra

Created with Quartz v4.5.0 © 2026

  • GitHub