yhyquest

Home

❯

MATH

❯

Cards

❯

Nodes

❯

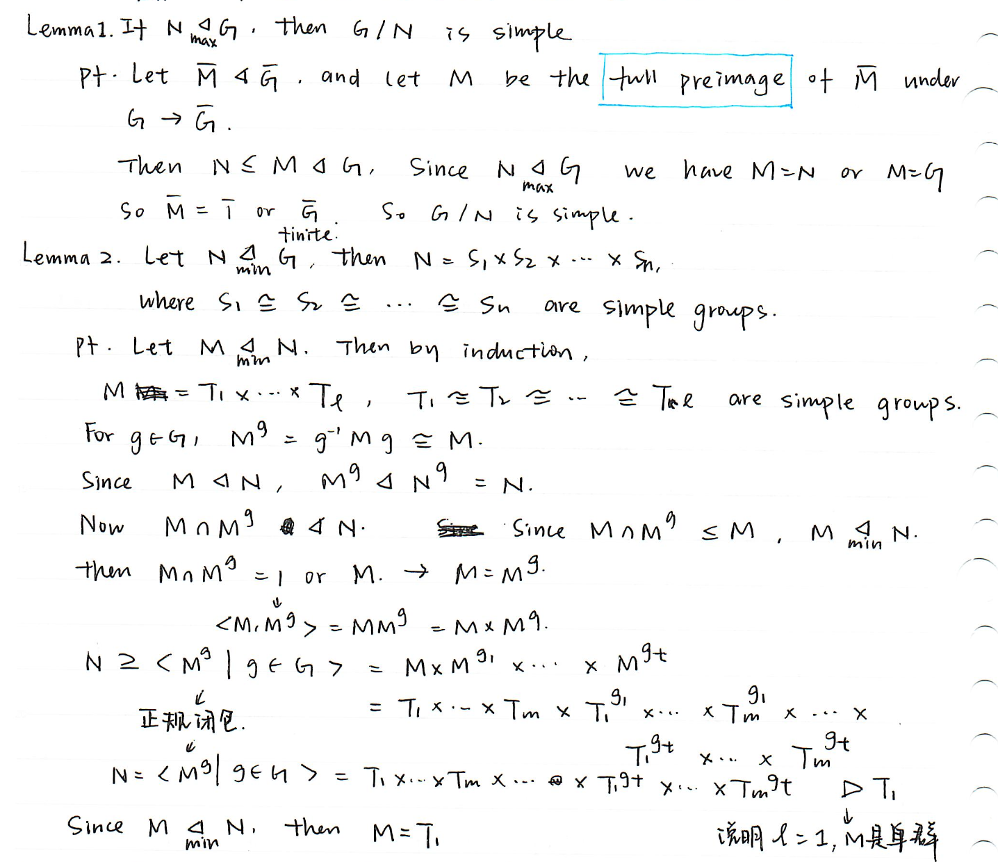
Minimal Normal Subgroup and Maximal Normal Subgroup

Minimal Normal Subgroup and Maximal Normal Subgroup


Graph View

Backlinks

  • Solvable primitive permutation groups of low rank
  • Cards看板
  • Characteristic Subgroup
  • Characteristically Simple
  • Fitting Subgroups
  • Group Core
  • Group Socle
  • Nilpotent Group
  • Normalizer of p-subgroup

Created with Quartz v4.5.0 © 2026

  • GitHub