For an affine variety, define , and then we can associate a “geometric” objective to , which is called . If is a finitely generated integral domain over an algebraically closed field, is nearly the same as . In this section, we assume that is a commutative ring with identity. One can define a point set

and define Zariski topology

It is easy to verify the collection of closed subsets does define a topology, which is proved in ^vf0aa5. Furthermore, define . Later we can check . In addition, we have and is a set of topology basis of , called distinguished open sets.

For any , there is

  • is called a closed point if . Note that is a closed point iff is a maximal ideal.
  • If , then is called a generic point.

Definition

Let be an irreducible closed subset. Then is a generic point of if , i.e. any open subset of contains .

Proposition

If , then is irreducible.

\begin{proof} Assume that , WLOG , then and so . \end{proof}

Proposition

Every irreducible subset equals as set for some prime ideal , and is its unique generic point.

\begin{proof} Suppose as set. Assume . We will show if is irreducible, then is prime.

Otherwise, there exists such that . We claim with and . Take , then can be written as . Note that

then we have as is radical. Now we proved the claim.

It deduces that . Since , there exists such that and such that . Thus and . In the other word, , which contradicts with irreducible. Therefore, is a prime ideal.

If there exist two distinct generic point , then and so . \end{proof}

Example. Let . Then and . Note that , and by ^bgejpl.

Proposition

Let . Then iff .

\begin{proof} Assume that . Then for any prime ideal , there exists such that and so . If , then is contained in some maximal ideal . However, is a prime ideal and , which is impossible. Therefore, and so .

Conversely, assume that . If there exists a prime ideal such that for all , then , which is impossible. Thus and so for some . \end{proof}

Remark. Since , there exist such that (partition of unity). Hence .

Corollary

is quasi-compact. (same as compactness without Hausdorff in topology)

\begin{proof} Suppose that , and we aim to find its finite subcover. For each open set , can be written as for some . For any point , we have and so . Thus, there exists , that is, . Also note that

so for each , there exists such that . It deduces that

By ^05e2eb, . \end{proof}

Remark. Since as topology spaces, one can check is also quasi-compact. Remark that is a set of topology basis of . However, not all are quasi-compact, and here is an counterexample:

  • For a ascending chain , define and . There does not exist finite such that .

15:30: Let and . The followings hold:

  • iff

For , we aim to define a map . Since iff , there exists such that . So the map can be defined as

It is a functor(这个词是这么用吗),

If , then , . . 好像是和stalk的对应,但是这里符号好怪。。

Lemma

Let . If there is such that for all , then .

\begin{proof} Let . Let . The following are clearly equivalent:

  • i) in

  • ii) such that in

  • iii)

  • iv) .

  • iv)i) ?

Therefore if , we can choose a prime ideal with , i.e., . Then for some . Using the commutative diagram it follows that goes to 0 in . Since , so does . Therefore there is some with , i.e., . This contradicts the fact that and the lemma is proven. \end{proof}


Lemma

, if satisfies , then there exists such that for all .

\begin{proof} Take . Since is quasi-compact, and it suffices to show for finite covering. If the finite case hold, then by the argument above we finish the proof: Since , by finite case, there exists such that , and so . By ^376c07, .

  • Now suppose , where . For with and is independent of .

坏消息,一点没听;好消息,和课本一模一样 \end{proof}

(this part prove that is a sheaf.)

Structure Sheaf

Let , and let be an open set. Define

and remark that

In fact, this definition is equivalent to Mumford, that is,

Proposition

  • is a sheaf of rings;
  • ;
  • , where .

\begin{proof} i) If with , then and so . Furthermore, if satisfies , then there exists . Recall the definition of the sheaf, and we finish the proof.

  • ii) Define . It is easy to check this map is injective: if for any , then . 17:27 后面还有两行,没看懂

Now we check surjective. 17:33-17:35

iii) Notice that

then we finish the proof. \end{proof}

Examples.

  • , and all points of are .
    • when , then ;
    • if , then and with .
  • , then with prime number or , where is a generic point. Note that
    • , which has the maximal ideal and
  • with , then all prime ideals are
    • maximal ideals
    • principal ideal with irreducible polynomial
    • generic point
  • has prime ideal , where is an integral domain. Also is also a prime ideal.
  • arithmetic surface, see ^6bfhl3.
    • .
    • blabla
  • has prime ideal . For any , note that , then and one can set . In fact,
    • .

Values of Sections

For , define . For any , stalk is a local ring with the maximal ideal . Then is a residue field. Note that when , we have , and

This definition is coincides with

Remark. For and , there is with and . Then .

Link to original

However, for affine varieties, all values are in the same field , which not always hold here. For example, consider , then and image of at is

Proposition

For and , we have isomorphism of ringed space

(\mathrm{Spec}R_f,\underline{o}_X|_{\mathrm{Spec}R_f})\simeq(\mathrm{Spec}(R_f),\underline{o}_{\mathrm{Spec}R_f}). $$ ^pzdwqy

\begin{proof} For any , we know . Thus there is a - corresponding

Also it is easy to check for any , , because when . \end{proof}

prescheme

A presheme is a topological space , plus a sheaf of rings provided that there exists open covering of such that for some commutative ring .

Remark. For a prescheme and open subset , one can check is also a prescheme by ^pzdwqy.

Definition

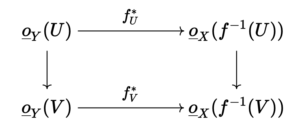
For preschemes and , a morphism consists of:

  • a continuous map

  • a morphism of rings between sheaves : for any , the following diagram commutes

    where and "" are restriction maps.

  • for any , and , if , then (morphism of locally ringed space).

  • Example. Here is an example to show there exists map satisfies i) and ii) but not iii), see Pasted image 20250522153005.png.

  • 然后在解释第三条有什么用: 好像是极大理想射到极大理想/residue field是单射

Theorem

For a prescheme and a ring , there is a - map

where .

\begin{proof} "" Define and define , where is defined as follows.

For and , there is . Note that iff . Define , where is a prime ideal.

To check is a morphism:

  • is continuous: if closed, is closed.
    • with affine , then it suffices to check closed. Define and it induces . One can check that , by comparing . Then .
    • So we can assume that is affine.
    • in affine case, and 的关系:14:34 下黑板 ^pnaept
      • .
      • ,
      • .
    • 14:39 下半黑板。验证continuous
  • Consider on distinguish open sets. For , we aim to find .
    • Recall that , we can define .
    • It remains to show , and it is enough to show for any .
    • For any , then and so . Thus and .
  • Verify if , then .

Finally, the map is bijective (the proof is omitted).

This argument is important, as we get a corollary from it.

Corollary

The following categories are isomorphic

Corollary

Let be a prescheme, then there exists unique , i.e. is the final object in the category of schemes.

\begin{proof} 15:32 上黑板 \end{proof}

Proposition

Let be a prescheme, and let be an irreducible closed subset. Then there exists unique such that .

\begin{proof} There exists affine open set of such that . Then is irreducible. Hence, there exists such that . Since , we have .

For uniqueness, there exists another point such that , then as is closed. Then . By affine case (generic point unique), . \end{proof}

Definition

above is called the generic point of .

Example. . Gluing -pieces of .

Fiber Product

Theorem

If are -algebras. Let the diagram of affine schemes

be associated to the natural ring. Then .

\begin{proof} 15:50 下黑板

6.3 update: by ^og85o0, the construction is trivial. 16:29 \end{proof}


In general, we glue these affine pieces. Remark that may not an affine variety, and we can write and consider preimage of each pieces. 16:40

universal surjective

If is surjective, then is surjective.

\begin{proof} Let , then there exists such that . Since , there is such that . Note that there is an affine open set such that . Then . Define and . Consider , which induces a map from to .

  • Then by the universal property, there exists a unique map from to . Then ? is what we desired. 17:02

Now we finish the proof. \end{proof}