We want to relate with and we do so via the “exponential map” which follows naturally from the tool of flow.
Integral curve
In general, let be a (smooth) manifold and be a (smooth) vector field. An integral curve through is a smooth map where is an interval such that and .
Local existence and uniqueness
Lemma
Integral curve locally exists and is unique.
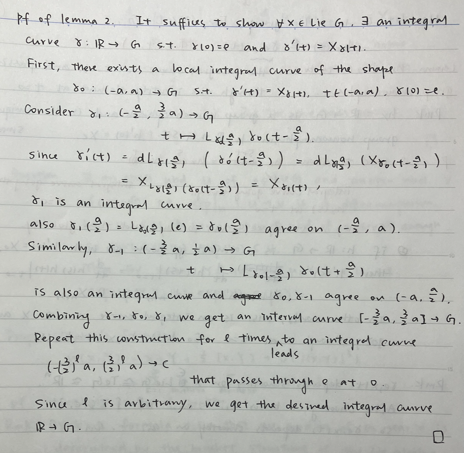
\begin{proof} To solve with the initial condition , it is enough to show where and is a chart containing .
Note is a vector field on . Since is trivial and form a basis everywhere, the above equation is where . Then by the uniqueness and existence of ODE, the integral curve locally exists and is unique. \end{proof}
Corollary
Let and be two integral curves of a vector field . If for some , then and agree on .
Complete vector field
complete vector field
A vector field is said to be complete if on a manifold , for any there exists an integral curve such that .
Lemma
If is compact, then every vector field is complete.
\begin{proof} It is a well-known conclusion in differential manifold. See here.
Lemma
If is a Lie group, then left-invariant vector fields are complete.
\begin{proof} I think the following proof is clear enough, and there is no need to write it again in markdown.
\end{proof}
Define exponential map
Flow and 1-parameter group
In general, if is a complete vector field on , then for any , there exists a global integral curve with . Put \begin{align} \Phi_X:\mathbb{R}\times M&\to M, \\ (t,p)&\mapsto\gamma_p(t) \end{align}and . Then .
Definition
is called the flow associated to the complete vector field .
Definition
is called a -parameter group.
Now let be a Lie group. For , defineas the integral curve w.r.t. and passing through the identity element at .
is a group homomorphism and is the unique smooth group homomorphism such that .
\begin{proof} Firstly, we need to show . Since both of them are integral curves going through at , they agree on by previous lemma. To show the uniqueness, suppose is a smooth group homomorphism with . Then \begin{align}
h'(s)&=d/dt\space h(t+s)|_{t=0} \\
&=d/dt\space h(t)h(s)|_{t=0} \\
&=dL_{h(s)}(h'(0)) \\
&=dL_{h(s)}(X_e) \\
&=X_{h(s)}.
\end{align}In the other word, is an integral curve w.r.t and going through at . So . \end{proof}
Exponential map
Now put .
Since depends smoothly on Lie . After choosing a basis of , depends smoothly on . Then is a smooth map.
Properties of exponential map
Commute diagram
Proposition
- Let be two connected Lie groups and a Lie group homomorphism. Then the diagram is commutative. It is easy to prove by the uniqueness in the above lemma.
- Let be a Lie group and its associated Lie algebra . For any ,\begin{align} \mathrm{Ad}_{\exp x}&=\exp(\mathrm{ad}x), \\ g(\exp x)g^{-1}&=\exp((\mathrm{Ad}_g)x), \end{align}where which induces denoted also by . On the other hand, is in the Lie algebra of . So .
Rmk. (exercise) Show that and is given by , where denotes the Lie algebra of a Lie group .
Local diffeomorphism
Lemma
. As a consequence of inversion function theorem, is a diffeomorphism near .
\begin{proof} For , there is \begin{align}
(d\exp)_e(X)&=d/dt\exp(tX)|_{t=0} \\
&=d/dt \space h_{tX}(1)|_{t=0}\\
&=d/dt \space h_X(t)|_{t=0} \\
&=X.
\end{align}It remains to show . For any fixed , both sides are smooth group homomorphisms from whose derivations at are both . By the previous lemma, they must agree. \end{proof}
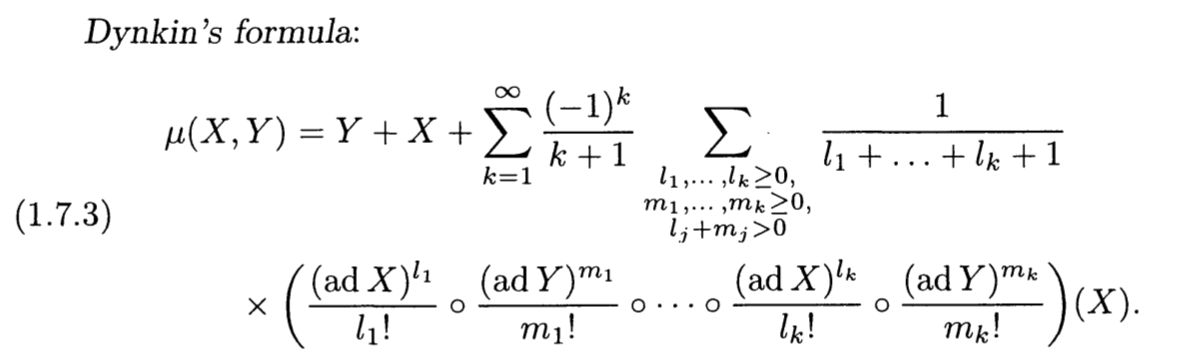
Dynkin’s formula
Motivation. When are close to , are close to . Therefore, there exists a is close to such that . The question is, is there a formula expressing in terms of ? The answer is Yes: Dynkin formula.
Dynkin's formula
More explicitly,
- what’s the meaning of ?
Rmk. Dynkin’s formula tells that the product of near is determined by the bracket structure of the Lie algebra.
Trivial but useful properties
Proposition
For any , .
\begin{proof}
Since , there is . Since is a group homomorphism, . Then and so . That is, .
\end{proof}
Proposition
For any and , .
\begin{proof}Note that $$
\begin{aligned}
\exp(nX)&=h_{nX}(1)=h_X(n)\
&=h_X(1)\cdots h_X(1)\
&=h_X(1)^n=(\exp(X))^n.
\end{aligned}
