Highlight: topological group/ring/module; Noetherian Noetherian.

  • Completion is exact, see ^z8znz5.
  • if Noetherian, then is also Noetherian, see ^b6b2a0.

Example. Product topology on : its topological basis is generated by with for finitely many and for almost every .

In our course, we only use “open neighborhood”.

Topologies and Completions

Definition

A topological abelian group is a abelian group equipped with topology such that is continuous, and is continuous.

Examples. They are topological groups:

  • with usual topology
  • any group equipped with discrete topology

Remark. The category of topological abelian groups is NOT an abelian category. Consider

which is a homomorphism of topological groups with trivial kernel and cokernel, but they are not isomorphism. Clausen-Scloze: {condensed abelian groups} {topological abelian groups}.

In the following, only consider topological abelian groups. Notation: for , let

Lemma

Let be a topological abelian group, and let . For any , with .

\begin{proof} Consider the composite map

which is continuous. Its inverse map is , which is also continuous. Hence are homeomorphism. Hence maps bijectively to . \end{proof}

Lemma

Let , then there exists such that and .

\begin{proof} Consider the continuous map

which deduces that is open. Since , we have . Then there exist containing such that . Let . One can check and so .

Similarly we can get such that . Then is what we desired, \end{proof}

Lemma

Let be a topological group. Let . Then

  • is a subgroup;
  • , the closure of ;
  • is Hausdorff.
  • is Hausdorff iff .

\begin{proof} i) Suppose , we aim to show . For any given , it suffices to show . Note that and . Then and so , which yields . Similarly, we can prove that .

ii) Note that iff there exists such that . But for some . So yields . Therefore, iff iff by i) iff .

iii) By ii), is closed. Recall quotient topology on is defined by , where open iff open. Since is closed, we know is a closed point. Let be distinct points. Then , and there exists such that . Also for . Take such that by ^36d8qm. Since , we have . It deduces that . Therefore, is Hausdorff.

iv) "" If is Hausdorff, then is closed and so . "" by iii). \end{proof}

Remark. Let be a group, and let be a subgroup. Then Hausdorff iff is closed. The proof is similar as above.

Completion of Topological Abelian Group

Definition

Say a sequence is a Cauchy sequence, if for any , there exists such that for any .

Say two Cauchy sequences are equivalent, if .

Let be the set of equivalent classes of Cauchy sequence, which is called it the completion of .

Facts.

  • is an abelian group, by defining . It suffices to show is a Cauchy sequence.
    • Proof is easy
  • is still a topological abelian group
    • Sketch of proof. To define topology on , it suffices to define . For , define

      and then define . One can check is a topology basis.

  • The map is continuous, whose kernel is . Thus injective iff Hausdorff.

Remark. Similar to Completion.

Definition

We say topological group is complete, if is an isomorphism.

Examples.

  • , then .
  • with discrete topology, then .
  • with -adic topology
    • by ^34rum4 where . Let . Then .
    • .
    • Let be the completion of under -adic topology. For with , it means for any and such that .

Use a sequence of subgroups to define a topology

Let be an abelian group (not topology yet), and let be a sequence of subgroups.

Fact. The subsets forms a basis of topology.

\begin{proof} If , then we aim to find such that . WLOG suppose , then , which yields and so . Then . So we can let . \end{proof}

Remarks.

  • So one can use above to define a topology on . It is relatively easy to check this makes a topology group.
  • Fact. For , use and the induces topology is precisely the -adic topology.

Fact. For above topology on , is both open and closed.

\begin{proof} By definition, is open. But yields is closed. \end{proof}

Fact. These forms a fundamental system of open neighborhood of . That is, for any , there exists such that .

\begin{proof} Since is open, . Thus for some and so . Thus . Now we finish the proof. \end{proof}

In above set-up, we can use “topological inver limit” to define

Definition

An inverse system of groups is a sequence of groups together with group homomorphisms . If is always surjective, call it surjective system.

Define , call it the inverse limit.

If the above are topological groups, then one can equip with induced topology.

Now let , equip with discrete topology, and note form an inverse system. We can define a topological group .

Theorem

There is a homeomorphism of topology groups .

\begin{proof} Step 1. Define .

Let . For each , there exists such that if . This implies . Thus with define a unique element in . We let for . Now verify . This is easy, because and for . Now we have defined .

It is easy to check is a group homomorphism. If , then for any , there exists for . Thus in and so is injective.

Step 2. Check is surjective.

Let , so for some non-unique . One can easily check is a Cauchy sequence. So it defines a element in , which is independent of choices of .

Step 3. Check and are both continuous.

(omit) \end{proof}

Example. . It has been proved by

  • Fact. For , use and the induces topology is precisely the -adic topology.
Link to original

Definition

Suppose , and are three inverse systems of abelian groups. If for each have a commutative diagram

where each row is short exact, then say they form an exact sequence of inverse systems. This actually induces a sequence

In fact, it is always left exact; but not right exact in general. The following proposition shows that if the is a surjective system, then is short exact.

Proposition

If is an exact sequence of inverse systems then

is always exact. If, moreover, is a surjective system then

is exact.

\begin{proof} See homework. \end{proof}

Corollary

Let be an exact sequence of abelian groups. Let be a decreasing sequence of subgroups of , which induces a topology on . So induces a topology on , and induces a topology on . Then is short exact.

\begin{proof} Apply proposition 10.2 to the following sequence

which is exact for each . Also note is surjective for all . \end{proof}

Proposition

Let , which gives a topology on . Then .

\begin{proof} In ^5f86e5, consider , and we have , where

So for all . Take inverse system, then . \end{proof}

We now define a special type topology on a ring

Let be an ideal. Then the sequence is a sequence of subgroups. This makes an topology abelian group.

Fact. This actually makes a topology ring, that is, is continuous w.r.t. this topology.

\begin{proof} It suffices to show is open. Suppose , then it is easy to see . \end{proof}

Fact. is still a topology ring.

Definition

We say is -adic compete if the natural map is an isomorphism.

Example. Using , its completion is also a topology ring. So is -adic complete.

Remark. If is principal, then also write -adic complete.

Example. If with , then .

Definition

Let be an -module. Let be an ideal. So we have a sequence giving a topology on abelian group .

Fact. With this topology, becomes a topology module over the topology ring , that is, is continuous. Furthermore, is also a topology module over .

Fact. (fix -adic topology as above)

  • Let be a homomorphism of -modules, then is automatically continuous w.r.t. -adic topology.
    • Proof. For any , then it is easy to see .
  • Above induces a continuous map .
    • Proof. .

Definition

Let be an -module, and let be an ideal. A sequence of submodule is called a filtration of . Call it an -filtration if for all ; call it a stable -filtration if it is an -filtration and for .

Example. is a stable -filtration.

very useful

It are stable -filtrations of , then they have bounded differences, that is, there exists such that for all . So they induced the same topology on , namely, the -adic topology.

\begin{proof} It suffices to consider the case .

Since is -filtration, there is and so . Note that is stable, then there exists such that for all , and so . In summary, . \end{proof}

Graded Rings and Modules

Definition

A graded ring is a ring together with , where are subgroups, such that as additive groups, is a direct sum of , that is,

and . Here .

Examples.

  • .
  • does not have natural grading.

Fact. (non-trivial) is in fact a subring (recall in our class subring contains ). The proof is as follows.

  • Since and is an additive subgroup, it is enough to show .

  • Suppose for some . Note that this composition is unique, and we aim to show . Note that

    and , then and .

  • Thus , and so .

Fact. Each is in fact an -module.

Notation. Let . It is clear is an ideal, and .

Definition

Let be a graded ring. A graded -module is an -module , together with a grading , where is a subgroup (not necessary a -submodule), such that for any .

Remark.

  • Each is an -submodule.
  • Say is homogenous of degree if .
  • Each has a unique decomposition , say is the -th homogeneous component of .

Definition

A homomorphism of -module is called a homomorphism of graded -module, if for all .

Proposition

Let be a graded ring. TFAE:

  • is Noetherian;
  • is Noetherian, and is finitely generated as -algebra.

\begin{proof} ii)i). There is a surjective map . By ^75xtmd, is Noetherian.

i)ii) Recall , so is Noetherian. Also is an ideal of , so is finitely generated. Assume that with .

Note each can be written as some homogeneous components, so WLOG one can assume each is homogeneous. Define , and we aim to show .

It suffices to prove for any , . Note that is trivial, and suppose it holds for all with .

Let , then with . Break , then

Sum up, and we get , as is homogeneous of degree .

So WLOG, one can assume already. By induction hypothesis, , thus . Now we finish the proof. \end{proof}

and

Definition

Let be an ideal. Define a graded ring , so . Suppose is an -module, with an -filtration , then one can define , then it is a graded -module.

Fact. If is Noetherian, then is finitely generated. Assume that . Then there is a surjective map .

Lemma

For a Noetherian ring , a finitely generated -module , and an -filtration , TFAE:

  • is finitely generated -module;
  • is -stable.

\begin{proof} For each , define , which is a subgroup but not a submodule. The -submodule generated by is

Since is a finitely generated -module, is also a finitely generated -module. Note that is increasing and .

So is a finitely generated -module iff is a Noetherian -module iff the increasing sequence is stable iff when , iff for , for any iff is -stable. \end{proof}

Generalized Artin-Rees Lemma

For a Noetherian ring , a finitely generated -module , and a stable -filtration , if is an submodule, then is also a stable -filtration.

\begin{proof} First note , so it is an -filtration. Denote . By ^m9pvrs, since is finitely generated and is Noetherian, is finitely generated and so is -stable. \end{proof}

Artin-Rees Lemma

Let as above, then there exists such that for any .

\begin{proof} Apply to ^r7klzn. \end{proof}

Remark. The motivation of this lemma is, for a Noetherian ring, its induced topology and the alpha-adic topology are the same. With this lemma, the exactness is preserved under completion, and ultimately the completion is flat. See ^z8znz5.

Theorem

For a Noetherian ring and its ideal , define -modules , then the filtration and are both stable -filtration, so they induce the same topology on .

\begin{proof} Apply ^2c426a. \end{proof}

Proposition

Some notation as above, write , take -adic completion, then is a short exact sequence of -module.

\begin{proof} Apply ^4t4tgc and ^5f86e5. \end{proof}

Proposition

For a ring and a finitely generated -module , is surjective. If is Noetherian, then is an isomorphism.

\begin{proof} Since is finitely generated, there exists a short exact sequence with . Consider

By ^5f86e5, they are right exact sequence. It is easy to check is surjective, because is an isomorphism and is surjective.

Now assume is Noetherian. By ^umxmsx, is injective, and is surjective by arguments above. Use diagram chasing, is injective. \end{proof}

It is the main theorem of this section.

Proposition

For a Noetherian ring and an ideal , (-adic completion) is a flat -algebra.

\begin{proof} Recall ^e6ct2u, to see an -module is flat, it suffices to check for each short exact sequence , is still flat.

Now let is a short exact sequence of finitely generated -module, by ^umxmsx, is exact. By ^wc26ph, is exact. Hence is a flat -module. \end{proof}

Finally, we give some properties of and .

Proposition

For a Noetherian ring and its ideal , define as -adic completion of , that is, . Then:

  • .

\begin{proof} i) We have by ^wc26ph, and consider the following composition

where injective is guaranteed by ^umxmsx. Note that the image of the composition above is , then we finish the proof.

ii) Apply i) to , then we get . It is easy to check . Then by i) .

iii) By the following commute diagram

take kernels of these surjective maps, and we get .

iv) By ii) and iii) we have , which means is -adic complete. Let for any , then converges to an element in (since is -adic complete). Thus . By ^h2e8bp, . \end{proof}

Associated Graded Ring

In this section, we aim to show for a Noetherian ring and its ideal , is Noetherian.

Definition

For a Noetherian ring and its ideal , define (the associated graded ring)

where . It is easy to check is a graded ring.

For an -module with an -filtration , define , then it is a graded -module.

Remark. We define and earlier. They are different with and !

Proposition

For a Noetherian and an ideal , we have:

  • is Noetherian
  • if is a finitely generated -module and is a stable -field, then is a finitely generated -module.

\begin{proof} i) Since is Noetherian, is finitely generated. Let in , then one can see is Noetherian.

ii) Use ^wvvi9p iii).

iii) Since is -stable, there exists such that for any . Then is generated over by , because

Thus is finitely generated over by is Noetherian. \end{proof}

Lemma

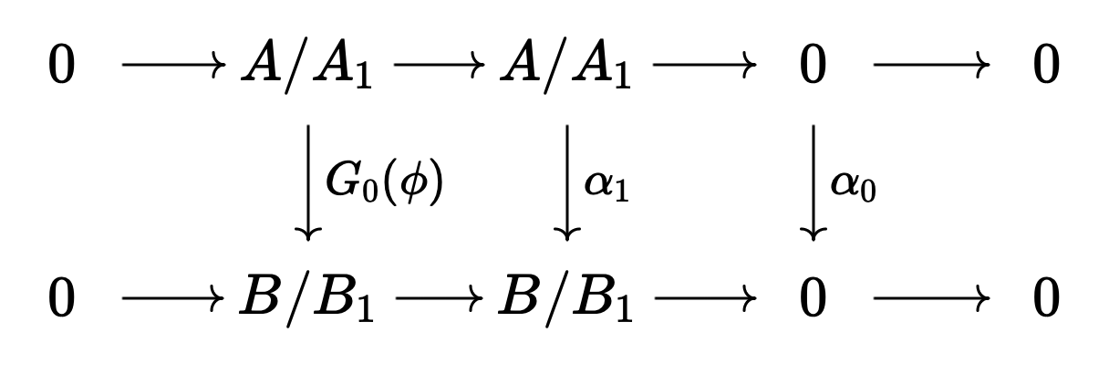
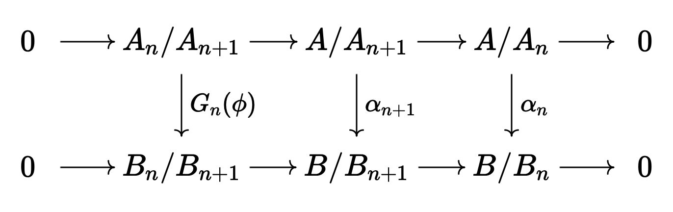
Let be abelian groups with filtration. For and , define and , and define and . Let be a group homomorphism such that . So it induces a group homomorphism and . Then:

  • injective yields injective;
  • surjective yields surjective.

\begin{proof} Consider the following commutative diagram

and by ^jgbcg4 we get a exact sequence

i) If is injective, then for all . Consider , the diagram becomes

and so . Thus is injective and . We get an exact sequence and so . By induction, one can check that for all , then is injective.

ii) If is surjective, then is surjective and is surjective. Use right half of above long exact sequence, one can see is surjective for all . Note that it is not enough to see is surjective. But consider the exact sequence of inverse systems

Since the left column is a surjective system by , we know

is short exact by ^bxmt3l. Hence is surjective. \end{proof}

Proposition

For a ring and its ideal , suppose is a -module and is an -filtration. Define Suppose and , and suppose is a finitely generated -module. Then is a finitely generated -module.

\begin{proof} Choose a finite set of generators of over . By breaking elements into homogeneous elements, we can assume

with . Choose a lift of .

Let be a free -module of rank , with basis . Define . We aim to show is surjective. Since is complete, is also complete. Also is injective because . So it suffices to show the composite is surjective. Via ^xmmn5a, it suffices to construct some surjective .

First, define a filtration on , so that the submodule with convention . This makes sure the map is compatible with filtration, because . ^xmmn5a tells us to show surjective, it is suffices to show is surjective. But

is surjective.

To explain , there is an example. Say , and . There is , , , . Then . Note that appears in the first summand and appears in the third summand, which is coincides with and . \end{proof}

Remark. As a corollary, as is surjective.

Corollary

Use the same hypothesis as above. Suppose further that is Noetherian -module, then s Noetherian -module.

\begin{proof} Let be a submodule. We want to prove is finitely generated over .

Define a filtration , which is still an -filtration and . Note that is injective by definition. Thus is a submodule.

Since is a Noetherian -module, is a finitely generated -module. By ^yad12c, is a finitely generated -module. \end{proof}

This is the main theorem of this section.

Theorem

For a Noetherian ring and its ideal , is a Noetherian ring.

\begin{proof} Apply ^yad12c and ^5fncr8 with , filtered by , then it suffices to show "" is a Noetherian ""-module. But "" is a Noetherian ring by ^7r78vs. So the proof is complete. \end{proof}

Corollary

If is Noetherian, then is Noetherian.

\begin{proof} By ^75xtmd is Noetherian. Then by ^b6b2a0, is Noetherian. \end{proof}